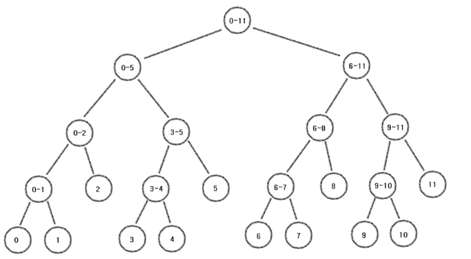
세그먼트 트리는 구간의 최솟값을 구하는데 가장 효율적인 자료구조이다.

- 각 노드에 저장되는 값은 3가지이다 --> 저장되는 칸의 번호, 구간 시작, 구간 끝 (구간시작==구간끝: 리프 노드)
- 예를 들어 3~5 노드는 구간 3~5에서 최솟값을 저장하고 있다.
- 배열을 이용해서 구할 수 있다. --> x의 왼쪽 자식은 2x, 오른쪽 자식은 2x+1 이런 식으로,,,
- 모든 노드는 자식이 무조건 0개 또는 2개이다.
- 리프 노드가 n개인 full binary tree가 필요한 노드의 개수: 높이 h=lgn일 때 2^(h+1)
import java.util.*;
public class Main {
public static void main(String[] args) {
Scanner in = new Scanner(System.in);
int n = in.nextInt();
int m = in.nextInt();
int arr[] = new int[n + 1];
for (int i = 1; i <= n; i++) {
arr[i] = in.nextInt();
}
int h = (int) Math.ceil(Math.log(n) / Math.log(2));
int maxTree[] = new int[1 << (h + 1)];
int minTree[] = new int[1 << (h + 1)];
initTree(true, arr, maxTree, 1, 1, n);
initTree(false, arr, minTree, 1, 1, n);
for (int i = 0; i < m; i++) {
int start = in.nextInt();
int end = in.nextInt();
System.out.print(findSegment(false, minTree, 1, 1, n, start, end) + " ");
System.out.println(findSegment(true, maxTree, 1, 1, n, start, end));
}
}
public static int initTree(boolean isMaxTree, int[] arr, int[] tree, int index, int start, int end) {
if (start == end) {
tree[index] = arr[start];
return tree[index];
}
int mid = (start + end) / 2;
if (isMaxTree) {
tree[index] = Math.max(initTree(isMaxTree, arr, tree, index * 2, start, mid),
initTree(isMaxTree, arr, tree, index * 2 + 1, mid + 1, end));
return tree[index];
} else {
tree[index] = Math.min(initTree(isMaxTree, arr, tree, index * 2, start, mid),
initTree(isMaxTree, arr, tree, index * 2 + 1, mid + 1, end));
return tree[index];
}
}
public static int findSegment(boolean isFindMax, int[] tree, int index, int start, int end, int left, int right) {
if (left > end || right < start) {
// 범위와 관계 없어서 볼 필요가 없을 때
return -1;
}
if (left <= start && right >= end) {
// 범위에 구간이 포함되는 경우, left - start - end - right
return tree[index];
}
// 범위에 구간이 일부 포함되는 경우
// left - start - right - end 또는
// start - left - right - end
int mid = (start + end) / 2;
if (isFindMax) {
return Math.max(findSegment(isFindMax, tree, index * 2, start, mid, left, right),
findSegment(isFindMax, tree, index * 2 + 1, mid + 1, end, left, right));
} else {
int segmentLeft = findSegment(isFindMax, tree, index * 2, start, mid, left, right);
int segmentRight = findSegment(isFindMax, tree, index * 2 + 1, mid + 1, end, left, right);
if (segmentLeft == -1) {
return segmentRight;
} else if (segmentRight == -1) {
return segmentLeft;
} else {
return Math.min(segmentLeft, segmentRight);
}
}
}
}
'알고리즘 공부 > boj' 카테고리의 다른 글
| boj 11660: 구간 합 구하기 5 (0) | 2020.07.19 |
|---|---|
| boj 1197: 최소 스패닝 트리 (0) | 2020.07.19 |
| boj 10986: 나머지 합 (0) | 2020.07.18 |
| boj 11003: 최솟값 찾기 (0) | 2020.07.18 |
| boj 1761: 정점들의 거리 (0) | 2020.07.15 |